Skip to content
Smart Solutions for Smart Grids
SOLUÇÕES
Sensores
Sigma ECM
Sigma EAM
Treetech Service
SAM
ARTIGOS
NOTÍCIAS
INSTITUCIONAL
CONTATO
Representantes
Assistência Técnica
Trabalhe Conosco
Português
English
Español
Search
MENU
Open mobile menu
Close mobile menu
Search
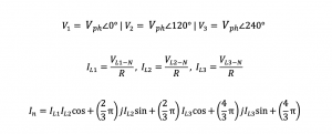
art-1916-equ-1-2-3
Back To Top
Search